IMG-LOGO
image

30 июн. 2024

Просмотров: 98

Как искусственный интеллект генерирует математические гипотезы вместо доказательств

Израильские математики из Техниона научили искусственный интеллект не решать задачи, а… выдвигать смелые математические гипотезы. И некоторые считают, что этот цифровой «генератор идей» уже сегодня может прицелиться в вечные проблемы, не поддающиеся ученым сотни лет.
Знаете, в чем вечная дилемма математика? Придумать красивую гипотезу — удовольствие. А вот доказать ее — часто каторжный труд. На ИИ смотрели с надеждой: вот он-то и возьмет на себя эту рутину. Ан нет! Оказалось, ему, как и многим из нас, куда интереснее генерировать догадки, а кропотливые доказательства он любезно оставляет людям.

Томас Финк, директор Лондонского института математики, в своей колонке для Nature размышляет о реальном влиянии технологий на науку. Его вывод парадоксален: главная польза ИИ сегодня не там, где ее ждали. Ждать от него безупречных технических доказательств в ближайшее время не стоит. Зато он оказался блестящим «гипотезометром», особенно в самой абстрактной и загадочной области — теории чисел.

Финк приводит яркий пример: «Несколько лет назад программа «Машина Рамануджана» предложила новые, никому не известные формулы для фундаментальных констант вроде π и e. Часть этих гипотез математики уже доказали. Другие же так и остаются открытыми проблемами — вызовом, брошенным человечеству алгоритмом».

Что такое «Машина Рамануджана»?

Эту систему израильские ученые представили миру еще в 2021 году. Но на достигнутом они не остановились. Их новая работа — прямое развитие той самой идеи.

Как искусственный интеллект генерирует математические гипотезы вместо доказательств

Математики заимствовали концепцию из физики, создав поиск гипотез по образу и подобию полевой теории. Они работают с так называемыми консервативными матричными полями. Представьте себе электромагнитное поле, только вместо частиц в нем «плавают»… математические предположения. Искусственный интеллект исследует это поле, отыскивая самые перспективные и элегантные гипотезы среди бесконечного множества возможных. Красиво, правда?

Как искусственный интеллект генерирует математические гипотезы вместо доказательств

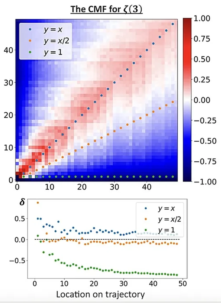
Ученые уже нацелили свой инструмент на титанические проблемы. Например, на доказательство иррациональности постоянной Каталаны — гипотезы, которая ждет своего решения с XIX века! На рисунке выше вы можете увидеть доказательство иррациональности другой константы — Апери. А в перспективе — главный приз: атака на гипотезу Римана, одну из самых знаменитых и дорогих (в прямом смысле) нерешенных задач в истории.

Все сгенерированные гипотезы исследователи выкладывают в открытый доступ на сайте «Машины Рамануджана». Они буквально бросают вызов математическому сообществу: вот вам идеи, проверяйте, доказывайте, творите! Интересно, кто из нас, людей, окажется быстрее и мудрее машины в этом интеллектуальном марафоне?